How to optimize RNA-seq

Overview

Traditional PCR systems require users to set a specified number of cycles according to the assay and the input amount. As a result, input material must be quantified, and samples of varying inputs must be split across multiple PCR runs.

Optimal cycling of RNA-Seq libraries is crucial, as excessive or too little library cycling may generate changes to gene expression. Further challenges emerge when using samples of different quality, such as FFPE, where similar input amounts might not follow similar amplification profiles.

 iconPCR, the world’s first real-time thermocycler with 96 individually controlled wells

Figure 1. iconPCR, the world’s first real-time thermocycler with 96 individually controlled wells. Image Credit: n6

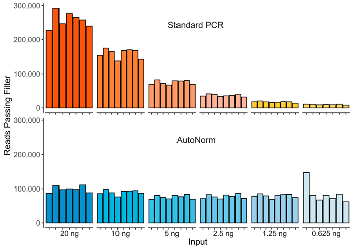
 Here we show the significant yield variance when using a single PCR instrument with a fixed number of PCR cycles compared where each sample is amplified to similar levels

Figure 2. Here we show the significant yield variance when using a single PCR instrument with a fixed number of PCR cycles, compared to where each sample is amplified to similar levels. Image Credit: n6

n6’s iconPCR introduces a new approach to PCR. With AutoNorm, every reaction is tracked in real time and stopped at the right fluorescence level, eliminating guesswork and delivering consistently well-amplified libraries.

To assess performance, n6 prepared RNASeq libraries using FFPE samples at different cycle numbers and thus demonstrated that overamplification of RNA-Seq libraries reduces data quality. Moreover, the use of AutoNorm staves off overamplification, which restores data quality while simplifying the processing of a large sample set.

Effect of PCR cycles on RNA-Seq

Data Quality 50 ng from a single FFPE sample was used as input for RNA-Seq library preparation over a broad spectrum of PCR cycles. After sequencing and down-sampling to normalize read counts, sequencing metrics were contrasted across different cycle numbers.

PCR amplification curves across differing cycle numbers. Plots depict where along the PCR amplification curve each condition was stopped. The conditions tested represent those from the early exponential phase (14 cycles) up the the establishment of the plateau (24 cycles) in 2 cycle increments

Figure 3. PCR amplification curves across differing cycle numbers. Plots depict where along the PCR amplification curve each condition was stopped. The conditions tested represent those from the early exponential phase (14 cycles) up the the establishment of the plateau (24 cycles) in 2 cycle increments. Image Credit: n6

 Increasing PCR cycles decreases data quality. Each condition was downsampled to 1M reads passing filter and subsequently aligned to the human reference genome. As the number of PCR cycles increased there was a decreasing in the percent of aligned reads and an increase in the percentage of PCR duplicates identified. Combined, this led to a decrease in the total number of genes detected

Figure 4. Increasing PCR cycles decreases data quality. Each condition was downsampled to 1M reads passing filter and subsequently aligned to the human reference genome. As the number of PCR cycles increased, the percentage of aligned reads decreased, and the percentage of PCR duplicates identified increased. Combined, this led to decreased the total number of genes detected. Image Credit: n6

Maximized RNA-Seq workflows

To show how iconPCR can enhance RNA-Seq workflows, RNA-Seq libraries were produced from four different FFPE samples of one, 10, or 100 ng inputs using standard PCR conditions or iconPCR with AutoNorm.

Experimental design showing sample distribution across workflows. For each sample tested, 1 ng, 10 ng, or 100 ng of RNA was used as input. For standard PCR, each input amount was used with a fixed number of PCR cycles, requiring three separate thermocycler runs. For iconPCR with AutoNorm, all samples were run simultaneously on a single instrument

Figure 5. Experimental design showing sample distribution across workflows. For each sample tested, one ng, 10 ng, or 100 ng of RNA was used as input. For standard PCR, each input amount was used with a fixed number of PCR cycles, requiring three separate thermocycler runs. For iconPCR with AutoNorm, all samples were run simultaneously on a single instrument. Image Credit: n6

 iconPCR allows for simultaneous processing of samples across a range of inputs while ensuring proper amplification is achieved. Different sample inputs require different numbers of PCR cycles to achieve optimal amplification (top), but even across the same input, samples can dramatically differ in the number of required cycles (bottom). iconPCR allows for all samples to be ran simultaneously, while also ensuring that each receive the proper level of amplification

Figure 6. iconPCR allows for simultaneous processing of samples across a range of inputs while ensuring proper amplification is achieved. Different sample inputs require different numbers of PCR cycles to achieve optimal amplification (top), but even across the same input, samples can dramatically differ in the number of required cycles (bottom). iconPCR allows for all samples to be run simultaneously, while ensuring that each receives the proper amplification level. Image Credit: n6

Optimized RNA-Seq workflows, continued

Table 1. AutoNormalization dynamically controls cycle numbers. The table shows the stop cycle for each sample in the study. The use of iconPCR with AutoNorm allows each sample to stop at a different number of cycles, ensuring that each sample is properly amplified, all within a single PCR run. Source: n6

1 ng 10 ng 100 ng
Sample Standard AN Standard AN Standard AN
Sample 1 24 20 20 17 17 14
Sample 2 19 16 13
Sample 3 19 19 18
Sample 4 20 18 15

 AutoNorm stops overamplification of samples. Using the standard PCR cycling conditions with a one ng input, all samples reached the plateau of the amplification curve. AutoNorm prevents samples from reaching the plateau

AutoNorm stops overamplification of samples. Using the standard PCR cycling conditions with a one ng input, all samples reached the plateau of the amplification curve. AutoNorm prevents samples from reaching the plateau

Figure 7. AutoNorm stops overamplification of samples. Using the standard PCR cycling conditions with a one ng input, all samples reached the plateau of the amplification curve. AutoNorm prevents samples from reaching the plateau. Image Credit: n6

Overamplification results indecreased data quality. Gene counts were lower in the 1 ng input samples from Standard PCR conditions as compared to samples that had undergone AutoNorm where amplification was stopped in the linear phase

Figure 8. Overamplification results in decreased data quality. Gene counts were lower in the one ng input samples from Standard PCR conditions than samples that had undergone AutoNorm, where amplification was stopped in the linear phase. Image Credit: n6

Benefits of iconPCR

Source: n6

Conventional PCR iconPCR (with AutoNorm)
Fixed cycle count (e.g., 30 cycles) Real-time fluorescence monitoring
One-size-fits-all amplification Per-well cycle control based on signal, not guesswork
Under/over-amplification common Optimal amplification per sample
High chimera rates Reduced chimera formation
Variable library quality Uniform library quality across all wells
Manual quant and normalization required Automated normalization (no post-PCR quant)
More hands-on time 40–60 % reduction in hands-on time
Increased reagent waste Lower reagent waste, fewer failed libraries
Extra QC and rerun costs Faster turnaround, minimal QC/rescue steps

Conclusion

By overcoming the constraints of standard PCR, iconPCR simplifies library preparation. With AutoNorm technology, each well is tracked and amplified to its precise cycle requirement, producing consistent workflows and improved RNA-Seq library quality.

About n6

n6 proudly introduces iconPCR, a pioneering advancement in the genomics field with the world’s first real-time thermocycler with 96 individually controlled wells. This breakthrough technology promises to revolutionize DNA amplification and sequencing by offering unmatched simplicity and flexibility, setting a new standard for genomic research and diagnostics.


Sponsored Content Policy: News-Medical.net publishes articles and related content that may be derived from sources where we have existing commercial relationships, provided such content adds value to the core editorial ethos of News-Medical.Net which is to educate and inform site visitors interested in medical research, science, medical devices and treatments.

Last updated: Sep 24, 2025 at 8:50 AM

Citations

Please use one of the following formats to cite this article in your essay, paper or report:

  • APA

    n6. (2025, September 24). How to optimize RNA-seq. News-Medical. Retrieved on January 15, 2026 from https://appetitescience.com/whitepaper/20250924/How-to-optimize-RNA-seq.aspx.

  • MLA

    n6. "How to optimize RNA-seq". News-Medical. 15 January 2026. <https://appetitescience.com/whitepaper/20250924/How-to-optimize-RNA-seq.aspx>.

  • Chicago

    n6. "How to optimize RNA-seq". News-Medical. https://appetitescience.com/whitepaper/20250924/How-to-optimize-RNA-seq.aspx. (accessed January 15, 2026).

  • Harvard

    n6. 2025. How to optimize RNA-seq. News-Medical, viewed 15 January 2026, https://appetitescience.com/whitepaper/20250924/How-to-optimize-RNA-seq.aspx.

Other White Papers by this Supplier

While we only use edited and approved content for Azthena answers, it may on occasions provide incorrect responses. Please confirm any data provided with the related suppliers or authors. We do not provide medical advice, if you search for medical information you must always consult a medical professional before acting on any information provided.

Your questions, but not your email details will be shared with OpenAI and retained for 30 days in accordance with their privacy principles.

Please do not ask questions that use sensitive or confidential information.

Read the full Terms & Conditions.