Quantifying Pesticide Contamination in Water with LC-Mass Spectrometry

The regulatory Maximum Residue Level (MRL) controls the quantification of pesticides in food, feed and environmental samples.

For the study of organic contaminants in water, the use of on-line extraction (OLE) enables the analysis of much larger sample volumes through LC-mass spectrometry, as opposed to direct injection methods. This subsequently allows for the potential to lower limits of quantitation to levels below the regulatory MRL.

The findings outlined in this article have been acquired from an assortment of 128 pesticides in drinking water, with on-line extraction employing an injection volume of 1.6 mL.

The technique has been authenticated in accordance with NF T90-210 norm (assessment protocol for a technique’s performance in a laboratory) with a concentration range between 5 and 200 ng/L and a limit of quantitation (LOQ) of 5 ng/L (MDA of 30%).

This article presents the use of EVOQ Elite™ LC-TQ system with on-line extraction to achieve considerably lower levels of quantitation in comparison with direct injection, whilst supplying precise and reproducible results.

Keywords Instrumentation and Software
LCMS EVOQ Elite LC-TQ
Pesticide Analysis MS Workstation 8
Water Analysis  
On-line Extraction  
Triple Quadrupole  
Quantitation  

 

Experimental

.
Instrument
Bruker EVOQ Elite™ TQ with OLE
Material and reagent:
Mix of 128 pesticides standards (5 µg/mL)
Ammonium formate (Fluka, 24850743)
Formic acid (ACROS Organics, 10285711)

 

MS parameters  
Ionization mode : HESI (+/-), ±4000 V
HESI temperature : 450 °C
Source gas : 40
Nebulization gas : 45
Cone temperature : 300 °C
Cone gas : 30
Q1 and Q3 resolution : 1,0 Da
Collision gas : Argon, 1,50 mTorr
Active Exhaust : On
Detector : Electron Multipler with Extended Dynamic Range (EDR)

 

Extraction conditions  
Column : Poroshell 120 EC-C18 (2,1 x 100 mm x 2,7 µm)
Extraction cartridge : HLB (3,9 x 150 mm x 5 µm)
Phase A : H2O + 0,01% HCOOH, 5 mM NH4HCO2
Phase B : CH3OH
Phase C : H2O + 0.01% HCOOH
Flow : 300 µL/min

 

Elution Gradient  
Time (min) Solvent B (%)
0.00 2
1.00 15
2.50 55
10.00 98
14.00 98
14.10 2
17.00 2

 

Extraction conditions  
Equilibration flow : 400 µL/min
Equilibration time : 5 min
Loading flow : 400 µL/min
Loading time : 2 min
Extraction time : 11 min

 

Preparation

The diverse levels of concentration were prepared through successive dilutions of the main solution (5 mg/L) in mobile phase A (0.01% HCOOH, 5 mM NH4HCO2). The acquisition method, including the compound names, retention times, MRM transitions and their collision energies, was imported from the Bruker Pesticide Library (see Figure 1).

Acquisition parameters automatically calculated by Compound Based Scanning (CBS).

Figure 1. Acquisition parameters automatically calculated by Compound Based Scanning (CBS).

On-Line Extraction (OLE) Workflow

To begin, the extraction cartridge was equilibrated with 400 µL/min of mobile phase C for a period of 5 minutes. 1.6 mL of sample was then loaded onto the trap column with a loading flow of 400 µl/min of mobile phase C for 2 minutes and 10 seconds.

Lastly, the chromatographic gradient back-flushed the trapped compounds from the trap column to the analytical column for a total of 11 minutes to circumvent any possible carryover concerns. The back-flushing led to a reduced peak band broadening and therefore, provided improved efficiency.

Results

The sensitivity and exceptional quantitative performance that can be consistently achieved with the EVOQ Elite can be ascribed to a number of its design features, such as: VIP (Vacuum Insulated Probe) -HESI (Heated Electro Spray Ionization), active exhaust, dual ion funnel and the detector with EDR (Extended Dynamic Range) function.

As such, an LOQ of 5 ng/L has been attained by injecting 1.6 ml of sample volume with on-line extraction (Table 1).

Furthermore, the second switching valve of the Advance OLE-UHPLC module permits a rapid and easy installation of the on-line extraction system, which supports the out-sized injection capacity.

Narrow peak widths resulting from the low dead volumes of the UHPLC Advance and low tailing, in spite of high injection volume, can be seen in the chromatograms in Figure 2.

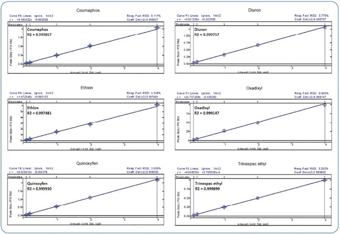
To showcase the system linearity, a study of the calibration function was also carried out. To determine the reproducibility, five calibration ranges at concentration levels of 5, 10, 50, 100 and 200 ng/L were independently prepared over a number of days.

The calibration model has been authenticated with a statistic approach using a linear regression with 1/x² weighting. The calibration function is suitable for the studied range, so long as the calculated criterion is below the Fisher’s law value.

Different graphical studies have also been carried out with the comparison of absolute, relative residues and recovered quantities with theoretical quantities (Figure 3 and 4). The linearity of the calibration curves (Figure 5) was confirmed and the correlation coefficients R² (Table 1) were each > 0.99.

These findings show that the EDR function of EVOQ Elite™ provides excellent linearity across a broad calibration range. The calculated limit of quantitation for the technique was also analyzed. Five solutions at 5 ng/L were prepared independently and then studied two times under matching conditions.

The measured quantities enabled researchers to determine the average quantity calculated and the standard deviation of intermediate precision calculated (sLQ).

This subsequently enabled the two following inequalities to confirm the accuracy of the calculated quantification limit, according to a MDA (30% of the LQ) (Figure 6).

The excellent reproducibility of the system at low concentrations can be seen in the RSD values of 10 injections at the LOQ (5 ng/L), detailed in Table 1.

Extracted ion chromatograms of quantifiers (red) and qualifiers (green) for 6 pesticides at their limit of quantification (5 ng/L)

Figure 2. Extracted ion chromatograms of quantifiers (red) and qualifiers (green) for 6 pesticides at their limit of quantification (5 ng/L)

Graphical examples of the distribution of relative residues for Chlorpropham

Figure 3. Graphical examples of the distribution of relative residues for Chlorpropham

Graphical examples of recovered quantities according to the theoretical quantities for Chlorpropham

Figure 4. Graphical examples of recovered quantities according to the theoretical quantities for Chlorpropham

Calibration curves of 6 compounds covering 5 ng/L to 200 ng/L

Figure 5. Calibration curves of 6 compounds covering 5 ng/L to 200 ng/L

Example of acceptable quantification limits for chlorpropham. All injections are found within a +/-30% deviation tolerance limit of the LOQ

Figure 6. Example of acceptable quantification limits for chlorpropham. All injections are found within a +/-30% deviation tolerance limit of the LOQ

Table 1. Compound list with LOQs obtained for 10 injections at 5 ng/L

Compound Average LQ (ng/L) RSD(%) Reported S/N
2,4 D 5,175 8,70 0,995989 34
2,4 DB 5,509 6,37 0,995866 20
Acetochlore 5,046 12,68 0,998807 40
Acibenzolar-S-methyl 5,261 11,10 0,999981 27
Aldicarbe sulfone 4,909 11,57 0,998586 186
Amidosulfuron 4,831 10,76 0,998244 82
Amitraze 5,411 9,18 0,997207 13
Azinphos methyl 5,094 7,34 0,998031 42
Azoxystrobine 4,956 2,82 0,998182 119
Benoxacor 4,938 4,33 0,999548 107
Bifenazate 5,441 8,51 0,998241 300
Boscalid 4,701 12,30 0,996636 117
Bromuconazole 4,746 11,67 0,998110 57
Bupirimate 4,831 7,12 0,999594 67
Chlorbufame 5,147 8,24 0,998120 11
Chlorfenvinphos 5,465 5,22 0,999853 96
Chlorprophame 5,451 6,38 0,999397 14
Chlorpyriphos ethyl 4,849 13,69 0,998750 96
Chlorpyriphos methyl 5,302 10,66 0,997714 47
Clethodime 4,749 8,78 0,999229 18
Clothianidine 5,184 6,71 0,997320 69
Coumaphos 5,184 8,80 0,999882 16
Cyazofamide 5,218 12,23 0,999554 70
Cyclanilide 4,995 2,80 0,999025 15
Cyproconazole 4,991 9,90 0,999721 77
Cyprodinil 5,250 7,45 0,999833 26
Diazinon 5,215 6,21 0,999550 120
Dicamba 4,835 11,25 0,998260 107
Dichlormide 5,158 8,43 0,998630 11
Dichlorprop 4,966 6,46 0,999824 56
Dichlorvos 4,815 10,30 0,999202 24
Difenoconazole 5,498 5,62 0,997747 59
Diflufenican 4,645 10,87 0,999953 148
Diniconazole 4,958 14,42 0,997797 24
Disulfoton 5,163 9,84 0,998237 18
Diuron 5,022 8,10 0,999757 22
Epoxiconazole 4,833 9,99 0,998689 60
Ethion 4,961 13,81 0,999560 140
Ethofumesate 5,063 4,60 0,998945 20
Fenarimol 4,986 10,59 0,999711 47
Fenazaquin 5,073 7,59 0,999603 51
Fenbuconazole 5,390 9,09 0,999853 28
Fenhexamide 4,937 10,76 0,999058 31
Fenoxycarbe 4,885 10,52 0,999621 71
Fenpropidine 5,047 6,16 0,997322 80
Fenpropimorphe 4,810 8,42 0,999419 46
Fenthion 4,773 9,99 0,993590 26
Fenthion sulfone 5,338 10,30 0,999825 25
Fluazifop 4,909 12,83 0,999275 23
Fluquinconazole 4,426 9,96 0,999668 33
Fluroxypyr 4,907 13,63 0,998018 19
Flurtamone 4,884 7,41 0,996359 138
Flusilazole 4,893 4,82 0,999673 345
Fonofos 4,662 10,90 0,999696 65
Heptenophos 5,062 4,58 0,999366 225
Hexaconazole 5,195 12,22 0,999855 66
Hexaflumuron 4,969 7,85 0,998889 14
Hexythiazox 5,041 8,61 0,998435 118
Imazalil 5,091 2,42 0,999529 21
Iodosulfuron methyl 4,760 9,18 0,998757 35
Ioxynil 5,189 9,75 0,998204 11
Iprodione 5,026 4,68 0,996755 16
Iprovalicarbe 4,950 9,56 0,999092 233
Isophenphos 5,210 11,38 0,995352 31

 

Compound Average LQ (ng/L) RSD(%) Reported S/N
Kresoxim methyl 5,072 6,09 0,999484 47
Linuron 4,972 3,84 0,998460 42
Lufenuron 5,144 10,30 0,999879 11
Malathion 4,609 11,95 0,999791 115
MCPB 5,086 12,72 0,999892 24
Mepanipyrim 4,574 11,35 0,999618 45
Mesosulfuron methyl 4,789 10,40 0,999479 59
Mesotrione 5,618 7,49 0,994701 130
Metamitron 4,469 9,53 0,999140 27
Metconazole 5,310 9,85 0,999661 75
Methiocarbe 4,880 7,87 0,999255 195
Methomyl 4,655 12,31 0,999431 30
Metrafenone 5,668 5,80 0,999065 253
Metribuzine 5,134 11,45 0,999102 34
Mevinphos 5,023 8,06 0,998695 109
Molinate 4,475 10,35 0,998933 133
Myclobutanil 5,355 9,67 0,998134 32
Napropamide 4,946 8,69 0,999952 247
Oxadiazon 4,825 13,62 0,999100 13
Oxadixyl 4,932 9,73 0,999147 198
Oxyfluorfene 5,400 9,30 0,999856 11
Paraoxon methyl 5,539 8,54 0,999341 27
Penconazole 4,868 8,53 0,999102 62
Pendimethaline 4,740 8,25 0,999630 61
Penoxsulame 5,026 8,20 0,999212 26
Phenthoate 4,745 9,59 0,999609 45
Phosmet 5,110 4,05 0,999761 187
Picolinafen 4,823 11,69 0,998711 20
Picoxystrobine 5,333 4,41 0,999628 258
Piperonyl butoxyde 4,857 8,94 0,999925 20
Pirimiphos methyl 5,515 6,31 0,999290 84
Procymidone 5,261 8,10 0,998777 52
Profenofos 4,841 8,10 0,996322 223
Propargite 4,708 12,66 0,998826 163
Propiconazole 5,184 11,38 0,998557 22
Proquinazid 4,821 13,07 0,999294 229
Prosulfuron 5,510 9,62 0,993397 84
Prothioconazole-desthio 4,922 12,64 0,994087 46
Pyraclostrobine 4,857 9,26 0,998278 88
Pyrimethanil 4,522 10,04 0,994835 65
Pyriproxyfene 4,535 4,61 0,999835 43
Quinoxyfene 4,610 10,76 0,998284 111
Rotenone 4,911 9,75 0,997525 27
Simazine 4,562 10,26 0,994235 50
Spinosad A 5,644 6,59 0,994402 193
Spiromesifen 4,885 11,05 0,997556 87
Sulcotrione 5,058 8,17 0,999913 12
Sulfotep 4,768 10,28 0,999945 109
Tebuconazole 5,013 10,63 0,999899 33
Tebufenpyrad 4,937 13,57 0,999590 46
Terbacile 4,871 10,18 0,992290 30
Terbufos 4,730 11,25 0,998908 44
Tetraconazole 5,233 9,99 0,996748 22
Tetramethrine 4,570 10,79 0,998892 26
Tolclofos-methyl 5,525 5,01 0,993923 25
Tolylfluanide 4,891 11,25 0,999911 25
Triadimefon 5,433 9,37 0,998461 95
Triadimenol 4,681 9,49 0,996542 77
Triallate 4,861 10,78 0,998324 18
Triclopyr 4,779 12,18 0,985493 39
Trifloxystrobine 4,807 11,05 0,998200 140
Triforine 5,086 5,84 0,999711 16
Trinexapac-ethyl 5,307 3,67 0,998766 37
Zoxamide 5,095 5,57 0,999616 313

 

Conclusion

It is possible to quantify much lower concentration levels using the Bruker EVOQ Elite™ LC-TQ system coupled with the OLE system, as opposed to using traditional direct injection methods.

Moreover, implementation of on-line extraction significantly lessens the sample preparation costs usually associated with solid phase and liquid-liquid extraction methods. This analysis has successfully shown the quantification of a wide range of pesticides with outstanding linearity, sensitivity, reproducibility, speed and sturdiness.

References

[1] NF T90-210 Mai 2009 - Qualité de l’eau - Protocole d’évaluation initiale des performances d’une méthode dans un laboratoire.

[2] Directive n° 2013/39/UE du 12/08/13 modifiant les directives 2000/60/CE et 2008/105/CE en ce qui concerne les substances prioritaires pour la politique dans le domaine de l’eau

Acknowledgments

Produced from materials originally authored by A. Collgros, A. Hurbain and J. Mohr from Bruker Daltonique, France.

About Bruker Life Sciences Mass Spectrometry

Discover new ways to apply mass spectrometry to today’s most pressing analytical challenges. Innovations such as Trapped Ion Mobility (TIMS), smartbeam and scanning lasers for MALDI-MS Imaging that deliver true pixel fidelity, and eXtreme Resolution FTMS (XR) technology capable to reveal Isotopic Fine Structure (IFS) signatures are pushing scientific exploration to new heights. Bruker's mass spectrometry solutions enable scientists to make breakthrough discoveries and gain deeper insights.


Sponsored Content Policy: News-Medical.net publishes articles and related content that may be derived from sources where we have existing commercial relationships, provided such content adds value to the core editorial ethos of News-Medical.Net which is to educate and inform site visitors interested in medical research, science, medical devices and treatments.

Last updated: Feb 15, 2023 at 12:15 AM

Citations

Please use one of the following formats to cite this article in your essay, paper or report:

  • APA

    Bruker Life Sciences Mass Spectrometry. (2023, February 15). Quantifying Pesticide Contamination in Water with LC-Mass Spectrometry. News-Medical. Retrieved on January 15, 2026 from https://appetitescience.com/whitepaper/20190402/Quantifying-Pesticide-Contamination-in-Water-with-LC-Mass-Spectrometry.aspx.

  • MLA

    Bruker Life Sciences Mass Spectrometry. "Quantifying Pesticide Contamination in Water with LC-Mass Spectrometry". News-Medical. 15 January 2026. <https://appetitescience.com/whitepaper/20190402/Quantifying-Pesticide-Contamination-in-Water-with-LC-Mass-Spectrometry.aspx>.

  • Chicago

    Bruker Life Sciences Mass Spectrometry. "Quantifying Pesticide Contamination in Water with LC-Mass Spectrometry". News-Medical. https://appetitescience.com/whitepaper/20190402/Quantifying-Pesticide-Contamination-in-Water-with-LC-Mass-Spectrometry.aspx. (accessed January 15, 2026).

  • Harvard

    Bruker Life Sciences Mass Spectrometry. 2023. Quantifying Pesticide Contamination in Water with LC-Mass Spectrometry. News-Medical, viewed 15 January 2026, https://appetitescience.com/whitepaper/20190402/Quantifying-Pesticide-Contamination-in-Water-with-LC-Mass-Spectrometry.aspx.

Other White Papers by this Supplier

While we only use edited and approved content for Azthena answers, it may on occasions provide incorrect responses. Please confirm any data provided with the related suppliers or authors. We do not provide medical advice, if you search for medical information you must always consult a medical professional before acting on any information provided.

Your questions, but not your email details will be shared with OpenAI and retained for 30 days in accordance with their privacy principles.

Please do not ask questions that use sensitive or confidential information.

Read the full Terms & Conditions.