Modeling the risk factors for household transmission of SARS-CoV-2

Households are settings that involve repeated and close contact between individuals of different generations. Such a setting could be useful to study the factors that contribute to the transmission of the severe acute respiratory syndrome coronavirus 2 (SARS-CoV-2).

In a recent study posted to the medRxiv* preprint server, researchers analyze the risks of contracting SARS-CoV-2 from the household and community. Risks were categorized by familial relationships, age, socioeconomic factors, and living conditions.

Study: Risk factors for household transmission of SARS-Cov-2: a modelling study in the French national population-based EpiCov cohort. Image Credit: Studio Romantic / Shutterstock.com

*Important notice: medRxiv publishes preliminary scientific reports that are not peer-reviewed and, therefore, should not be regarded as conclusive, guide clinical practice/health-related behavior, or treated as established information.

Background

Monitoring households can provide important insights into the transmission of various pathogens. In the context of the coronavirus disease 2019 (COVID-19), household studies have revealed that infection is less likely to occur among children than younger/middle-aged adults. Evidence is still scarce about the risk for young children, newborns, and adolescents because of their heterogeneous behavior.

Based on a population-based serosurvey in Switzerland, it was concluded that the risk of within-household infection among young children between the ages of five and eight, as well as young individuals between 10-19 years of age, was lower, relative to middle-aged adults between 20-49 years of age.

However, this study was conducted after a long duration of school closures and at a time of low COVID-19 prevalence among children. In fact, a separate Canadian study reported higher infectivity among children than adolescents.

About the study

Socioeconomic factors have rarely been evaluated at the household level. In France, the EpiCov cohort is a rich population-based serosurvey.

In the current study, data and mathematical modeling from the EpiCov cohort were used to assess the effects of living and socio-economic conditions, age, and family ties on the risk of contracting COVID-19 from both community and household exposure.

A positive Euroimmun anti-SARS-CoV-2 enzyme-linked immunosorbent assay (ELISA) immunoglobulin G (IgG) result indicated SARS-CoV-2 infection. To estimate the competing risks of contracting COVID-19 from community and household exposures, stochastic chain binomial models were fitted to distribute infections across households.

Data on 17,983 individuals aged five years and older from 8,165 households were used in this study. Individuals residing in nursing homes were excluded from the EpiCov study.

Key findings

Simulations revealed that household transmission represented 25% of SARS-CoV-2 infections. The key factors for extra-household infection were age, as well as socioeconomic and demographic factors, while those for intra-household infections were age and family ties.

Young adults had the highest risk of extra-household infection, whereas 65-74-year-olds were at the highest risk of contracting COVID-19 from an infected person at home at a rate of 22.1%. Surprisingly, this high risk was not observed in family members aged more than 74 years.

Estimated probabilities (%) of extra and intra-household infection by age. Median, 95% credible interval.

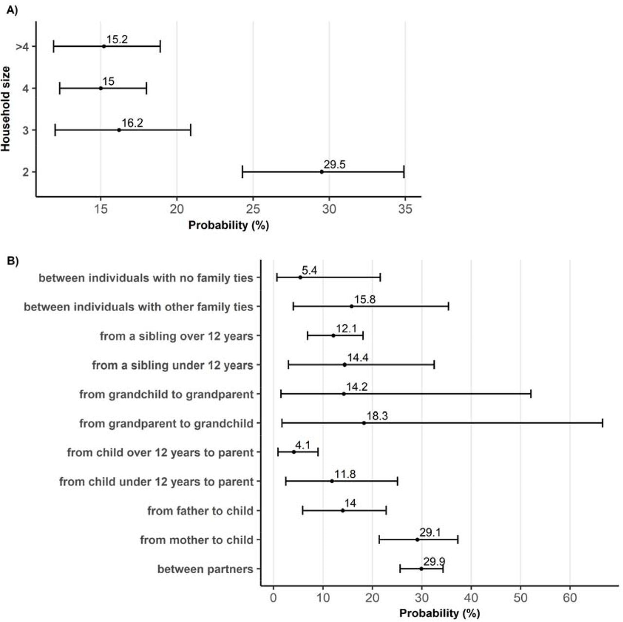
With regards to family ties, the within-household transmission was highest between partners and from mother to child at a rate of 29.9% and 29.1%, respectively. Lower transmission rates from children to parents were observed.

The models also revealed that adults were more likely to be infected outside, relative to children. Subsequently, adults introduced the virus into the household, thus infecting the children.

Estimated probabilities (%) of person-to-person transmission according to (A) household size and (B) family ties. Median, 95% credible interval.

The probability of extra-household infections increased with population density and family income. This likelihood of infection was also higher among French regions that were most affected by COVID-19.

Strengths and limitations

The current study covered a period of interest when schools were open and children were more likely to be exposed to SARS-CoV-2. Additionally, factors associated with extra- and intra-household transmission were studied and longer transmission chains within households were considered.

A key limitation of the study was the lack of statistical power while analyzing specific interactions, such as grandchildren and grandparents. Furthermore, some infections in the first wave of the pandemic may have been excluded, as antibody responses typically wane off after the first four months following infection.

The lack of serological data in children younger than five years of age prevented analysis of the role played by very young children in SARS-CoV-2 transmission. Lastly, the possibility of re-infection was not discussed.

Conclusions

The present study analyzed the first two waves of SARS-CoV-2 infection in France in 2020 and provided estimates of the risk of contracting this virus within and outside households. The likelihood of person-to-person transmission within households varied depending on age and family ties of the individuals.

In November 2020, widespread vaccination was implemented. At the same time, SARS-CoV-2 variants of concern began to emerge, which altered the epidemiological context significantly.

The findings of the current study highlight the heterogeneity of the factors associated with SARS-CoV-2 transmission. Furthermore, the current study demonstrates the utility of population-based serosurveys, which could also be extended to other respiratory viruses in the future.

*Important notice: medRxiv publishes preliminary scientific reports that are not peer-reviewed and, therefore, should not be regarded as conclusive, guide clinical practice/health-related behavior, or treated as established information.

Journal reference:
Dr. Priyom Bose

Written by

Dr. Priyom Bose

Priyom holds a Ph.D. in Plant Biology and Biotechnology from the University of Madras, India. She is an active researcher and an experienced science writer. Priyom has also co-authored several original research articles that have been published in reputed peer-reviewed journals. She is also an avid reader and an amateur photographer.

Citations

Please use one of the following formats to cite this article in your essay, paper or report:

  • APA

    Bose, Priyom. (2022, October 12). Modeling the risk factors for household transmission of SARS-CoV-2. News-Medical. Retrieved on January 19, 2026 from https://appetitescience.com/news/20221012/Modeling-the-risk-factors-for-household-transmission-of-SARS-CoV-2.aspx.

  • MLA

    Bose, Priyom. "Modeling the risk factors for household transmission of SARS-CoV-2". News-Medical. 19 January 2026. <https://appetitescience.com/news/20221012/Modeling-the-risk-factors-for-household-transmission-of-SARS-CoV-2.aspx>.

  • Chicago

    Bose, Priyom. "Modeling the risk factors for household transmission of SARS-CoV-2". News-Medical. https://appetitescience.com/news/20221012/Modeling-the-risk-factors-for-household-transmission-of-SARS-CoV-2.aspx. (accessed January 19, 2026).

  • Harvard

    Bose, Priyom. 2022. Modeling the risk factors for household transmission of SARS-CoV-2. News-Medical, viewed 19 January 2026, https://appetitescience.com/news/20221012/Modeling-the-risk-factors-for-household-transmission-of-SARS-CoV-2.aspx.

Comments

The opinions expressed here are the views of the writer and do not necessarily reflect the views and opinions of News Medical.
Post a new comment
Post

Sign in to keep reading

We're committed to providing free access to quality science. By registering and providing insight into your preferences you're joining a community of over 1m science interested individuals and help us to provide you with insightful content whilst keeping our service free.

or

While we only use edited and approved content for Azthena answers, it may on occasions provide incorrect responses. Please confirm any data provided with the related suppliers or authors. We do not provide medical advice, if you search for medical information you must always consult a medical professional before acting on any information provided.

Your questions, but not your email details will be shared with OpenAI and retained for 30 days in accordance with their privacy principles.

Please do not ask questions that use sensitive or confidential information.

Read the full Terms & Conditions.

You might also like...
Poor lung gas exchange may help explain lingering brain symptoms in Long COVID