Antibody response to Pfizer-BioNTech COVID-19 vaccine over 6 months

The binding responses and temporal dynamics of antibodies elicited against the severe acute respiratory syndrome coronavirus 2 (SARS-CoV-2) due to vaccination must be fully understood to design future vaccination strategies.

A new study published in PLoS ONE characterizes the antibody response to BNT162b2, the Pfizer-BioNTech coronavirus disease 2019 (COVID-19) vaccine. This study analyzes the temporal dynamics of immunoglobulin G (IgG) and IgM antibody response to five different SARS-CoV-2 epitopes over a period of six months after vaccination.

Study: 6 month serologic response to the Pfizer-BioNTech COVID-19 vaccine among healthcare workers. Image Credit: Flowersandtraveling / Shutterstock.com

Study: 6 month serologic response to the Pfizer-BioNTech COVID-19 vaccine among healthcare workers. Image Credit: Flowersandtraveling / Shutterstock.com

BNT162b2 vaccine

BNT162b2 is a messenger ribonucleic acid (mRNA) vaccine by Pfizer-BioNTech. The U.S. Food and Drug Administration (FDA) authorized the BNT162b2 vaccine for emergency use on December 11, 2020. 

SARS-COV-2 binds and infects the host cells through the spike (S) protein receptor-binding domain (RBD) that is exposed on the surface of the virus. The BNT162b2 vaccine mRNA encodes a secreted trimerized SARS-CoV-2 RBD. The RNA is nucleoside-modified and enclosed within a lipid nanoparticle.

Six-month serologic response assessment

Healthcare workers were among the first individuals to receive COVID-19 vaccination. Therefore, the current observational study enrolled adult participants working in a large healthcare system.

The study participants received the BNT162b2 vaccine at week 0 and week three. Blood samples were collected on the day of vaccination (baseline), as well as two weeks, four weeks, three months, and six months after vaccination. 

Anti-SARS-CoV-2 antibodies were analyzed using the Maverick SARS-CoV-2 multiantigen panel that detected nucleocapsid, spike S1 RBD, spike S1S2, spike S1, and spike S2 antigens.

The change in total antibodies, IgM, and IgG responses across all time points were evaluated.

Serology results

A total of 15 study participants completed all five blood collections. Among the 15 participants, six were office staff, three were nurses, one was a physician assistant, two were medical assistants, two were physicians, and one was with an unknown role in the healthcare system. 

The average age of the participants was 44 years and 82% of participants were females. None of the participants reported prior symptoms of COVID-19 or prior COVID-19 polymerase chain reaction (PCR) test positivity.

Sera samples were analyzed to examine the humoral response to the BNT162b2 vaccine. Ten 10 different types of anti-SARS-CoV-2 antibodies were assayed, including four IgM and four IgG antibodies targeting each of four different spike protein epitopes, as well as one IgM and one IgG antibody targeting the nucleocapsid epitope. 

All participants had a significant serologic response across time for total antibody. The serologic response across time was significant for both IgG and IgM antibody responses. The serologic response was largely driven by IgG antibodies.

Vaccination elicited an IgG-dominant antibody response. Most of the participants had an IgG response at two weeks after vaccination.

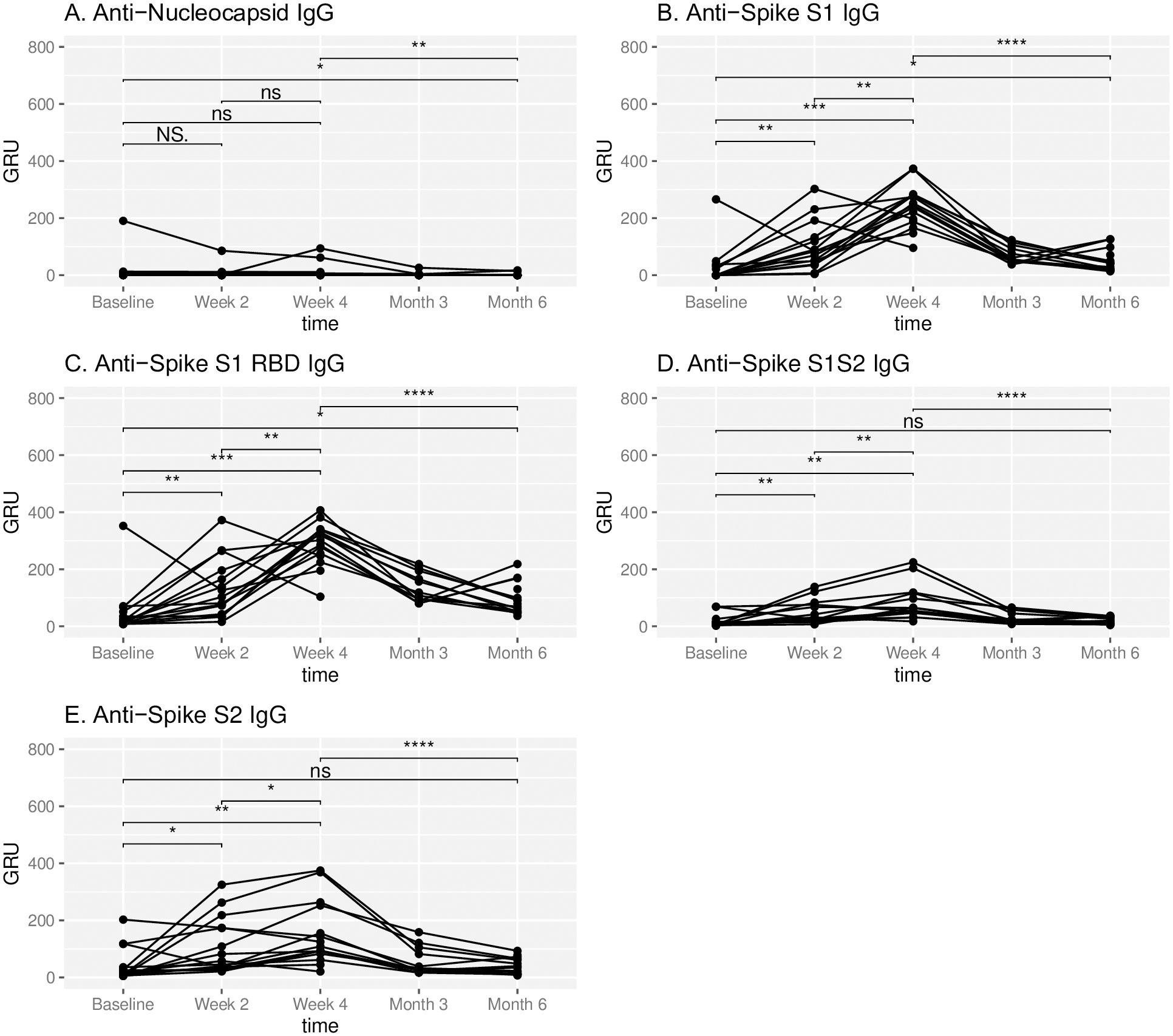
There were significant increases in mean response between baseline and week four for anti-SARS-CoV-2 IgG against spike S1, spike S1 RBD, spike S1S2, and spike S2 IgG. Thus, the IgG response was observed at two weeks following vaccination in most participants and continued to increase at week four. However, the IgG response against all spike protein epitopes significantly decreased starting at three months and up to six months.

The IgM response to all epitopes was minimal; however, one patient had pre-existing IgG antibodies against the nucleocapsid antigen. This confirmed a prior asymptomatic infection.

Temporal IgG response to SARS-CoV-2. IgG antibody response to respective SARS-CoV-2 epitopes at baseline, week 2, week 4, month 3 and month 6 in subjects administered Pfizer-BioNTech COVID-19 vaccine at week 0 and week 3. Antibody response is reported in Genalyte response units (GRU). NS represents a p-value >0.05, * represents a p-value ≤ 0.05, ** represents a p-value ≤ 0.01, *** represents a p-value ≤ 0.001, **** represents a p-value ≤ 0.0001.

Temporal IgG response to SARS-CoV-2. IgG antibody response to respective SARS-CoV-2 epitopes at baseline, week 2, week 4, month 3 and month 6 in subjects administered Pfizer-BioNTech COVID-19 vaccine at week 0 and week 3. Antibody response is reported in Genalyte response units (GRU). NS represents a p-value >0.05, * represents a p-value ≤ 0.05, ** represents a p-value ≤ 0.01, *** represents a p-value ≤ 0.001, **** represents a p-value ≤ 0.0001.

Implications

The antibody response to the spike protein significantly decreases six months after vaccination with the BNT162b2 vaccine. However, it remains to be determined if this antibody decline correlates with waning immunity.

For this purpose, the change in infection risk with respect to time post-vaccination should be evaluated. The cellular response to vaccination should also be examined to identify the complete vaccine-directed immunity.

The current study provides data to inform current research investigating the potential of a booster dose to expand the level and duration of immunity. This is particularly important in the context of emerging SARS-CoV-2 variants.

This study also provides new insights into the response that can be expected for other mRNA vaccination targets. Furthermore, the study findings provide a comparison for assessing the humoral response in immunocompromised patients, as this population requires innovative strategies to enhance vaccine immunogenicity.

Conclusions

Vaccination with BNT162b2 elicits minimal anti-SARS-CoV-2 IgM response against the spike protein. This is contrary to natural SARS-CoV-2 infection.

Polyclonal IgG response against the spike protein is elicited by two weeks following vaccination and continues to increase at week four, but then declines at three months and continues to decline up to six months.

Journal reference:
  • Cham, J., Pandey, A. C., New, J., et al. (2022) 6 month serologic response to the Pfizer-BioNTech COVID-19 vaccine among healthcare workers. PLoS ONE 17(4). doi:10.1371/journal.pone.0266781.
Dr. Shital Sarah Ahaley

Written by

Dr. Shital Sarah Ahaley

Dr. Shital Sarah Ahaley is a medical writer. She completed her Bachelor's and Master's degree in Microbiology at the University of Pune. She then completed her Ph.D. at the Indian Institute of Science, Bengaluru where she studied muscle development and muscle diseases. After her Ph.D., she worked at the Indian Institute of Science, Education, and Research, Pune as a post-doctoral fellow. She then acquired and executed an independent grant from the DBT-Wellcome Trust India Alliance as an Early Career Fellow. Her work focused on RNA binding proteins and Hedgehog signaling.

Citations

Please use one of the following formats to cite this article in your essay, paper or report:

  • APA

    Sarah Ahaley, Shital. (2022, April 20). Antibody response to Pfizer-BioNTech COVID-19 vaccine over 6 months. News-Medical. Retrieved on January 16, 2026 from https://appetitescience.com/news/20220420/Antibody-response-to-Pfizer-BioNTech-COVID-19-vaccine-over-6-months.aspx.

  • MLA

    Sarah Ahaley, Shital. "Antibody response to Pfizer-BioNTech COVID-19 vaccine over 6 months". News-Medical. 16 January 2026. <https://appetitescience.com/news/20220420/Antibody-response-to-Pfizer-BioNTech-COVID-19-vaccine-over-6-months.aspx>.

  • Chicago

    Sarah Ahaley, Shital. "Antibody response to Pfizer-BioNTech COVID-19 vaccine over 6 months". News-Medical. https://appetitescience.com/news/20220420/Antibody-response-to-Pfizer-BioNTech-COVID-19-vaccine-over-6-months.aspx. (accessed January 16, 2026).

  • Harvard

    Sarah Ahaley, Shital. 2022. Antibody response to Pfizer-BioNTech COVID-19 vaccine over 6 months. News-Medical, viewed 16 January 2026, https://appetitescience.com/news/20220420/Antibody-response-to-Pfizer-BioNTech-COVID-19-vaccine-over-6-months.aspx.

Comments

  1. Santa Maharaj Santa Maharaj New Zealand says:

    The results means the blood test initially showed vax antibodies entered blood. Then over 2 weeks more injection ingredients got into blood. From 1 to 3months it travelled to lymph nodes and into bone marrow takes 3months. The purpose of vax is achieved from single dose. Vaccine has not waned. That cannot be showing in blood after 3months. 1 shot patients are best protected then 2 or 3 dose.

The opinions expressed here are the views of the writer and do not necessarily reflect the views and opinions of News Medical.
Post a new comment
Post

Sign in to keep reading

We're committed to providing free access to quality science. By registering and providing insight into your preferences you're joining a community of over 1m science interested individuals and help us to provide you with insightful content whilst keeping our service free.

or

While we only use edited and approved content for Azthena answers, it may on occasions provide incorrect responses. Please confirm any data provided with the related suppliers or authors. We do not provide medical advice, if you search for medical information you must always consult a medical professional before acting on any information provided.

Your questions, but not your email details will be shared with OpenAI and retained for 30 days in accordance with their privacy principles.

Please do not ask questions that use sensitive or confidential information.

Read the full Terms & Conditions.

You might also like...
COVID-19 immunity stays specific and barely boosts protection against common cold coronaviruses