Study explores adverse effects of SARS-CoV-2-induced antibody responses

Infection by the severe acute respiratory syndrome coronavirus 2 (SARS-CoV-2) triggers an immune response driven by the immunoglobulin G (IgG) family of antibodies in the infected individual. This response against the SARS-CoV-2 receptor-binding domain (RBD) is driven primarily by IgG1 and IgG3 sub-classes. While several studies have established the positive outcomes of this antibody-mediated viral neutralization, its potential adverse effects are yet unknown.

Study design

The authors of a research paper published in the journal Frontiers in Immunology used Sandwich ELISA tests to determine the distribution of IgG sub-classes and complement activation levels in plasma from convalescent individuals.

Study: SARS-CoV-2 Antibodies Mediate Complement and Cellular Driven Inflammation. Image Credit: Juan Gaertner / Shutterstock
Study: SARS-CoV-2 Antibodies Mediate Complement and Cellular Driven Inflammation. Image Credit: Juan Gaertner / Shutterstock

The study included a total of 180 people who recovered from coronavirus disease 2019 (COVID-19), as confirmed by their negative reverse transcription-polymerase chain reaction (RT-PCR) test. Plasma samples from these individuals were ethylenediaminetetraacetic acid (EDTA)-treated and kept frozen at −80°C until they were used.

The RT-PCR positive participants comprised males and females in the age group 18–86, with the course of disease ranging from mild (few symptoms) to severe (needed hospitalization). Healthy blood donors were used as negative controls to collect a total of 60 EDTA plasma samples (from before 2020) having no SARS-CoV-2 antibodies.

Assessing levels of IgG sub-classes and complement molecules

During natural infection, IgG1 and IgG3 sub-classes effectively activate the classical complement pathway to eliminate the pathogen (here SARS-CoV-2) employing methods such as microbial lysis by the terminal complement complex (TCC).

The complement system, an integral part of innate immunity, is initiated by three distinct pathways - the classical, the lectin, and the alternative pathway - differing in the modes of initiation but all generating complement factor (C3) and other central and terminal effector molecules.

Deposition of such effector molecules (C4b, C3bc, and TCC), as a consequence of SARS-CoV-2-specific antibodies, are significantly correlated with both IgG levels and disease severity, indicating that patients with high IgG levels might have more prominent complement activation during viral infection.

Detection of IgG1, IgG2, IgG3 and IgG4 in recovered SARS-CoV-2 individuals. Groups divided according to levels of total IgG; high, intermediate, low and negative healthy controls, n = 240. Levels were assessed by coating plates with 1 µg/nm RBD and detecting with HRP-conjugated antibodies against IgG1, 2, 3 and 4 (1 µg/ml). Samples were measured in a 1:50 dilution, except for IgG1 which were measured in a 1:150 dilution. Dynamic range represented in signal-to-noise ratios (S/N). A p value < 0.05 was considered significant. ns, not significant, ***p < 0.001 using Tukey all-pair comparisons.
Detection of IgG1, IgG2, IgG3 and IgG4 in recovered SARS-CoV-2 individuals. Groups divided according to levels of total IgG; high, intermediate, low and negative healthy controls, n = 240. Levels were assessed by coating plates with 1 µg/nm RBD and detecting with HRP-conjugated antibodies against IgG1, 2, 3 and 4 (1 µg/ml). Samples were measured in a 1:50 dilution, except for IgG1 which was measured in a 1:150 dilution. The dynamic range is represented in signal-to-noise ratios (S/N). A p value < 0.05 was considered significant. ns, not significant, ***p < 0.001 using Tukey all-pair comparisons.

Complement activation - a distinctive pathogenic feature of COVID-19

While the activation of the complement system may effectively contribute to the control of infection, it may also contribute to several pathologies like acute respiratory distress syndrome (ARDS) in severely ill COVID-19 patients due to its pro-inflammatory effects.

The study results suggest that antibody-mediated complement activation and subsequent cellular priming constitute a significant risk of increasing COVID-19 severity. In addition, the results indicate a preferential generation of SARS-CoV-2-specific IgG3 (and not IgG1) during COVID-19 infection, while IgG2 and IgG4 are barely detected. This excess IgG3 could be responsible for excess inflammation rather than tissue repair, worsening the COVID-19 symptoms in patients.

Inferences drawn from the depletion of antibodies against RBD

The results demonstrated that once the RBD antibodies depleted in convalescent plasma samples, the deposition of C4, C3 and TCC complement molecules stopped. However, while this proved that the activation of the complement system through deposition of C4, C3, and TCC is mediated by RBD antibody, the results could not decipher the exact residues of the RBD involved in triggering the complement activation.

Furthermore, the levels of C4, C3, and TCC are positively correlated with both IgG levels and disease severity. Both C4 and C3 levels were significantly lower in patients with high disease severity than patients with low severity, indicating that C4 and C3 are readily absorbed in severely ill patients.

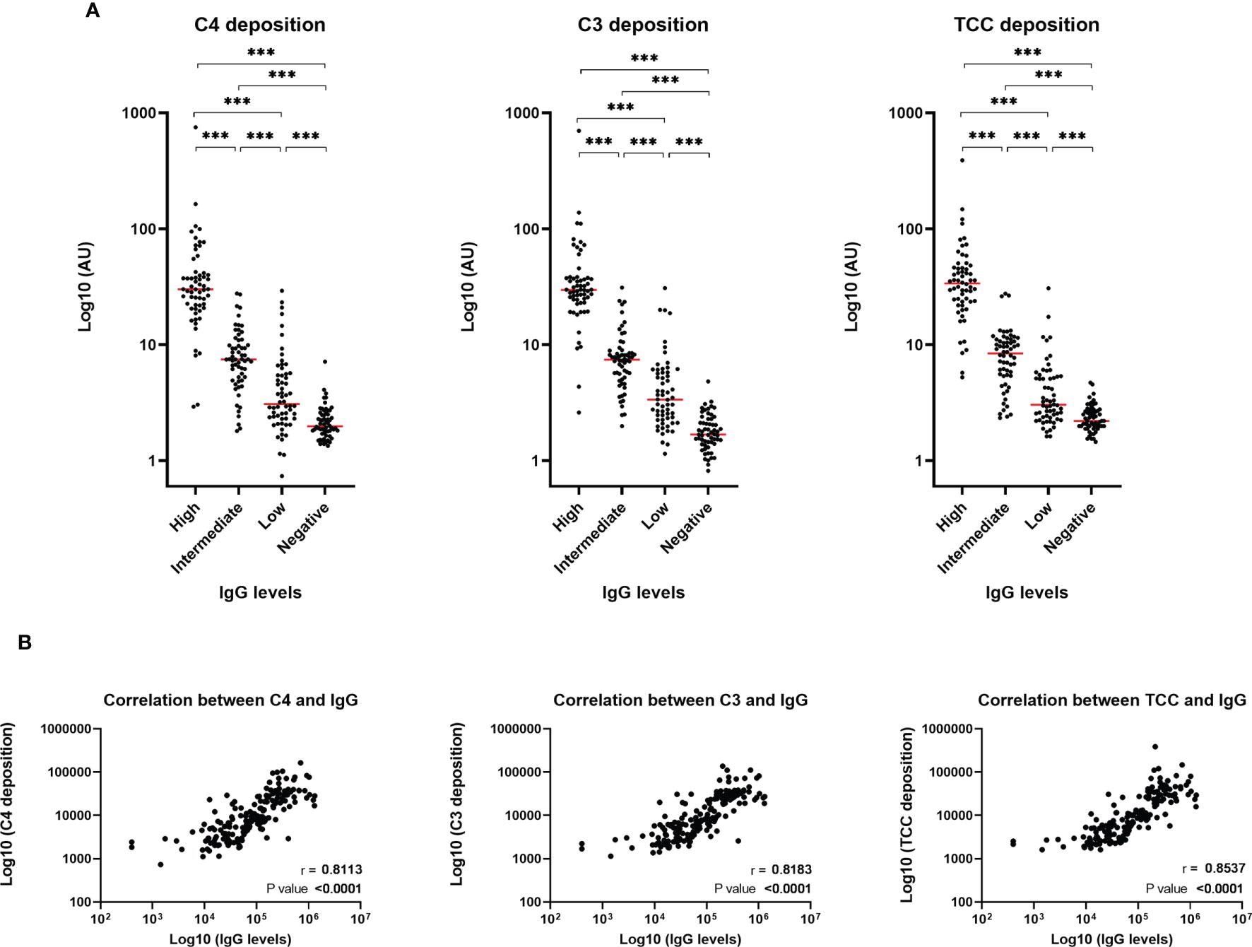
Complement deposition in recovered SARS-CoV-2 individuals. (A) Measurements of complement components C4, C3 and TCC in convalescent EDTA plasma. Groups divided according to levels of total IgG; high, intermediate, low and negative healthy controls, n = 240. Levels were assessed by coating plates with 3 µg/nm RBD, followed by incubation with EDTA plasma diluted 1:60 (for high IgG samples) and 1:20 (for intermediate, low and negative IgG samples). A normal human serum pool was applied in a 1:50 dilution. Biotinylated monoclonal antibodies against C4b, C3bc and TCC (2 µg/ml) was used for detection. Dynamic range represented in arbitrary units (AU). A p value < 0.05 was considered significant. ***p < 0.001 using Tukey all-pair comparisons. (B) The correlation between deposition of either C4, C3 or TCC and IgG levels using Spearman rank correlation analysis.
Complement deposition in recovered SARS-CoV-2 individuals. (A) Measurements of complement components C4, C3 and TCC in convalescent EDTA plasma. Groups divided according to levels of total IgG; high, intermediate, low and negative healthy controls, n = 240. Levels were assessed by coating plates with 3 µg/nm RBD, followed by incubation with EDTA plasma diluted 1:60 (for high IgG samples) and 1:20 (for intermediate, low and negative IgG samples). A normal human serum pool was applied in a 1:50 dilution. Biotinylated monoclonal antibodies against C4b, C3bc and TCC (2 µg/ml) was used for detection. Dynamic range represented in arbitrary units (AU). A p value < 0.05 was considered significant. ***p < 0.001 using Tukey all-pair comparisons. (B) The correlation between deposition of either C4, C3 or TCC and IgG levels using Spearman rank correlation analysis.

Cytokine production in monocytes

An aggressive cellular mediated inflammatory response observed in SARS-CoV-2-infected individuals is a consequence of Fc – gamma receptor (FcγR) engagement by SARS-CoV-2 specific antibodies. Simultaneously, it releases heaps of pro-inflammatory cytokines, referred to as the "cytokine storm."  While studies have investigated the role of antibodies and FcγRs during viral infections concerning virus neutralization and antibody-dependent enhancement of infection, data on FcγR-mediated cytokine responses in the context of viral infections is limited.

To fill this knowledge gap, researchers primed THP-1 monocytes and freshly isolated human monocytes with SARS-CoV-2 RBD immune complexes, the antigen being RBD. Upon evaluating the cytokine secretion of IL-6, IL-1β, and TNF-α by THP-1 cells, observed TNF-α levels were significantly high, but IL-6 and IL-1β levels were not. The monocytes and monocyte-derived macrophages are phagocytic cells contributing to inflammation, immunity, and anti-viral responses.

Future directions

The study's findings provide an essential insight into the overall immunological response during a COVID-19 infection and emphasize the need for further studies to shed light on all the possible harmful effects of these antibodies and their interaction with the complement system.

Journal reference:
Neha Mathur

Written by

Neha Mathur

Neha is a digital marketing professional based in Gurugram, India. She has a Master’s degree from the University of Rajasthan with a specialization in Biotechnology in 2008. She has experience in pre-clinical research as part of her research project in The Department of Toxicology at the prestigious Central Drug Research Institute (CDRI), Lucknow, India. She also holds a certification in C++ programming.

Citations

Please use one of the following formats to cite this article in your essay, paper or report:

  • APA

    Mathur, Neha. (2021, November 25). Study explores adverse effects of SARS-CoV-2-induced antibody responses. News-Medical. Retrieved on January 15, 2026 from https://appetitescience.com/news/20211125/Study-explores-adverse-effects-of-SARS-CoV-2-induced-antibody-responses.aspx.

  • MLA

    Mathur, Neha. "Study explores adverse effects of SARS-CoV-2-induced antibody responses". News-Medical. 15 January 2026. <https://appetitescience.com/news/20211125/Study-explores-adverse-effects-of-SARS-CoV-2-induced-antibody-responses.aspx>.

  • Chicago

    Mathur, Neha. "Study explores adverse effects of SARS-CoV-2-induced antibody responses". News-Medical. https://appetitescience.com/news/20211125/Study-explores-adverse-effects-of-SARS-CoV-2-induced-antibody-responses.aspx. (accessed January 15, 2026).

  • Harvard

    Mathur, Neha. 2021. Study explores adverse effects of SARS-CoV-2-induced antibody responses. News-Medical, viewed 15 January 2026, https://appetitescience.com/news/20211125/Study-explores-adverse-effects-of-SARS-CoV-2-induced-antibody-responses.aspx.

Comments

The opinions expressed here are the views of the writer and do not necessarily reflect the views and opinions of News Medical.
Post a new comment
Post

Sign in to keep reading

We're committed to providing free access to quality science. By registering and providing insight into your preferences you're joining a community of over 1m science interested individuals and help us to provide you with insightful content whilst keeping our service free.

or

While we only use edited and approved content for Azthena answers, it may on occasions provide incorrect responses. Please confirm any data provided with the related suppliers or authors. We do not provide medical advice, if you search for medical information you must always consult a medical professional before acting on any information provided.

Your questions, but not your email details will be shared with OpenAI and retained for 30 days in accordance with their privacy principles.

Please do not ask questions that use sensitive or confidential information.

Read the full Terms & Conditions.

You might also like...
Beckman Coulter Life Sciences launches industry-first infrared dye antibody conjugates to expand human phenotyping experiments