Community coronavirus testing in England shows lockdown had "intended effect"

UK researchers say the proportion of people testing positive for severe acute respiratory syndrome coronavirus 2 (SARS-CoV-2) significantly declined in England between 26 April and 28 June 2020.

This news article was a review of a preliminary scientific report that had not undergone peer-review at the time of publication. Since its initial publication, the scientific report has now been peer reviewed and accepted for publication in a Scientific Journal. Links to the preliminary and peer-reviewed reports are available in the Sources section at the bottom of this article. View Sources

Reporting on initial results from the Office of National Statistics Coronavirus Infection Survey, the team says the proportion of people testing positive by throat and nose swab fell from around one in 300 to one in 1,000 over the two months.

“This adds to the increasing body of empirical evidence and theoretical models that suggest that the lockdown imposed on 23 March 2020 had its intended effect,” write Koen Pouwels (Nuffield Department of Population Health, University of Oxford) and colleagues.

The researchers say the results can be used to directly inform policymakers faced with the difficult challenge of deciding whether to continue or relax measures taken to contain the spread of the virus.  

Importantly, Pouwels and colleagues warn that many of the people who did test positive were asymptomatic and that working outside of the household was a significant risk factor.

This indicates the importance of continued community monitoring for the early detection of any increases in infection rates as people return to work and other measures are relaxed, they say.

A pre-print version of the paper is available on the server medRxiv*, while the article undergoes peer review.

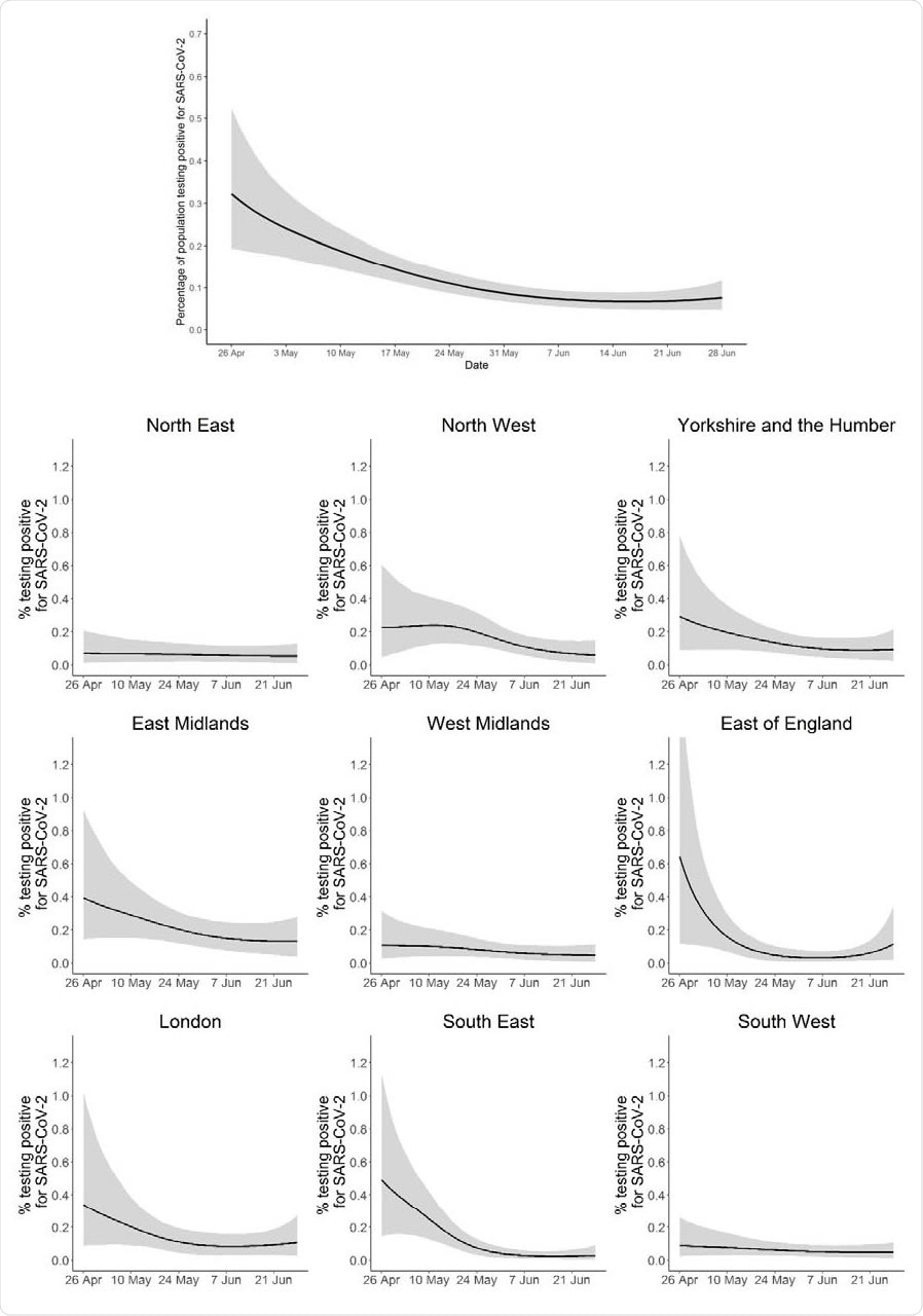
Percentage of population testing positive for SARS-CoV-2 over time. (Top) In England. (Bottom) Within the nine regions of England. Credible intervals are truncated at 1.35% to ensure all regional plots are on the same scale.
Percentage of population testing positive for SARS-CoV-2 over time. (Top) In England. (Bottom) Within the nine regions of England. Credible intervals are truncated at 1.35% to ensure all regional plots are on the same scale.

Policymakers need accurate surveillance data

Since the coronavirus disease 2019 (COVID-19) outbreak first began in Wuhan, China, late last year, many governments have implemented unprecedented control measures to help curb the spread of SARS-CoV-2.

The mass surveillance data used to monitor the effectiveness of such measures have mostly been based on sources such as hospital admissions, self-reported symptoms, and death registries, all of which do not directly measure the community prevalence of SARS-CoV-2.

Estimated epidemic growth rates within England and its nine regions, shown as posterior median and 25-75th percentiles. Growth rates are related to doubling (positive weeks) and halving (negative weeks) times.
Estimated epidemic growth rates within England and its nine regions, shown as posterior median and 25-75th percentiles. Growth rates are related to doubling (positive weeks) and halving (negative weeks) times.

The policymakers and experts who advise governments about the continued need for social distancing rely on accurate and up-to-date information on the incidence and prevalence of SARS-CoV-2, say the researchers.

“While an uncontrolled epidemic has potentially even more drastic consequences, politicians have to continuously make the difficult decision between continuing strict control measures or relaxing them in some way that would be safe enough in medical terms yet beneficial more broadly across society,” writes the team.

The Office of National Statistics (ONS) Coronavirus Infection Survey (CIS)

The ONS-CIS is a repeated cross-sectional national survey that collects throat and nose swab data from 34,992 participants aged 2 years and older across 16,722 residential households in England. Information about any symptoms and risk factors is also gathered. The data for this pilot phase were collected between 26 April and 28 June.

The survey found that the proportion of people testing positive for SARS-CoV-2 fell from 0.32% on 26 April to 0.08% on 28 June.

The authors say the result suggests “that the lockdown imposed on 23 March 2020 had its intended effect.”

Risk factors associated with testing positive included having a job with direct patient contact (a 4.06-fold increased risk) and working outside of the home (a 2.49-fold increased risk). Having personally visited a hospital was associated with a 2.2-fold increased risk, and a household member having visited hospital was associated with a 1.95-fold increased risk.

“Continued monitoring for SARS-CoV-2 in the community will be important”

Notably, a significant proportion of people who tested positive for the virus were asymptomatic.

Of 133 individuals who tested positive, 82 (61%) reported no symptoms on the day the swab was taken, as well as no symptoms one week before or after it was taken.

“A substantial proportion of infections were in individuals not reporting symptoms, indicating that continued monitoring for SARS-CoV-2 in the community will be important for potential early detection of increases in infections due to return to work and other relaxations of control measures,” warn the researchers.

“This national survey, collecting throat and nose swabs and accompanying data from individuals in households across England, estimates the prevalence and incidence of SARS-CoV-2 in the community in England, and hence directly informs decisions about continued need or relaxation of COVID-19 related control measures,” they conclude.

This news article was a review of a preliminary scientific report that had not undergone peer-review at the time of publication. Since its initial publication, the scientific report has now been peer reviewed and accepted for publication in a Scientific Journal. Links to the preliminary and peer-reviewed reports are available in the Sources section at the bottom of this article. View Sources

Journal references:

Article Revisions

  • Mar 25 2023 - The preprint preliminary research paper that this article was based upon was accepted for publication in a peer-reviewed Scientific Journal. This article was edited accordingly to include a link to the final peer-reviewed paper, now shown in the sources section.
Sally Robertson

Written by

Sally Robertson

Sally first developed an interest in medical communications when she took on the role of Journal Development Editor for BioMed Central (BMC), after having graduated with a degree in biomedical science from Greenwich University.

Citations

Please use one of the following formats to cite this article in your essay, paper or report:

  • APA

    Robertson, Sally. (2023, March 25). Community coronavirus testing in England shows lockdown had "intended effect". News-Medical. Retrieved on January 16, 2026 from https://appetitescience.com/news/20200708/Community-coronavirus-testing-in-England-shows-lockdown-had-intended-effect.aspx.

  • MLA

    Robertson, Sally. "Community coronavirus testing in England shows lockdown had "intended effect"". News-Medical. 16 January 2026. <https://appetitescience.com/news/20200708/Community-coronavirus-testing-in-England-shows-lockdown-had-intended-effect.aspx>.

  • Chicago

    Robertson, Sally. "Community coronavirus testing in England shows lockdown had "intended effect"". News-Medical. https://appetitescience.com/news/20200708/Community-coronavirus-testing-in-England-shows-lockdown-had-intended-effect.aspx. (accessed January 16, 2026).

  • Harvard

    Robertson, Sally. 2023. Community coronavirus testing in England shows lockdown had "intended effect". News-Medical, viewed 16 January 2026, https://appetitescience.com/news/20200708/Community-coronavirus-testing-in-England-shows-lockdown-had-intended-effect.aspx.

Comments

The opinions expressed here are the views of the writer and do not necessarily reflect the views and opinions of News Medical.
Post a new comment
Post

Sign in to keep reading

We're committed to providing free access to quality science. By registering and providing insight into your preferences you're joining a community of over 1m science interested individuals and help us to provide you with insightful content whilst keeping our service free.

or

While we only use edited and approved content for Azthena answers, it may on occasions provide incorrect responses. Please confirm any data provided with the related suppliers or authors. We do not provide medical advice, if you search for medical information you must always consult a medical professional before acting on any information provided.

Your questions, but not your email details will be shared with OpenAI and retained for 30 days in accordance with their privacy principles.

Please do not ask questions that use sensitive or confidential information.

Read the full Terms & Conditions.

You might also like...
COVID-19 immunity stays specific and barely boosts protection against common cold coronaviruses