Monitoring air pollution-induced inflammation through breath VOC biomarkers

This article is based on a poster originally authored by Elizabeth Crone, Agnieszka Smolinska, S. Lam, I. Elisia, Crista Bartolomeu, G. Krystal, Billy Boyle, Max Allsworth, Matt Kerr, Lara Pocock, and Renelle Myers.

In 2013, the International Agency for Research on Cancer classified outdoor air pollution and its primary component, particulate matter, as carcinogens and significant contributors to lung cancer.

A recent report from the Global Burden of Disease estimated that 387,000 lung cancer deaths in 2013 (24% of all lung cancer deaths) were attributable to outdoor air pollution. Additionally, air pollution is associated with an increased risk of mortality from ischemic heart disease, cerebrovascular disease, chronic obstructive pulmonary disease, and lower respiratory infections.

Notably, the particulate matter with an aerodynamic diameter of less than 2.5 μm (PM2.5) was identified as the fifth-ranking risk factor for mortality in 2015.

Despite the acknowledged significance of air pollution exposure as a risk factor for major causes of death at the population level, the effects of particulate matter exposure at the individual level remain inadequately understood.

Controlled exposure studies serve as a valuable approach to elucidate the impacts of particulate exposure and explore acute inflammation. Lung inflammation, a response to pollutants, releases volatile organic compounds (VOCs) in breath, which may act as non-invasive markers for assessing inflammation.

The study discussed here aimed to identify breath markers associated with acute lung inflammation induced by exposure to 2.5 µm particulate matter (PM2.5) in healthy individuals.

Methods

The study recruited 20 healthy individuals (10 males and 10 females, aged 18-45), all of whom were non-smokers.

The study employed a double-blinded crossover design. Participants underwent two separate exposure sessions in the UBC Air Pollution Exposure Lab booth: 300 μg/m3 of PM2.5 from a diesel engine and filtered air (sham), with a minimum spacing of six weeks between exposures.

Participants were randomized and blinded to the order of exposure. Figure 1 presents a representative flowchart of the study design.

Study design diagram. The orange arrows represent the sampling points for exhaled breath (i.e. before the exposure, immediately after the exposure, and 30 minutes, 1 hour, 3 hours, 6 hours and 24 hours after exposure). In the case of respiratory droplets, the sampling will take place at 3 time points (before exposure, 3 hours after exposure, and 24 hours after exposure)

Figure 1. Study design diagram. The orange arrows represent the sampling points for exhaled breath (i.e. before the exposure, immediately after the exposure, and 30 minutes, 1 hour, 3 hours, 6 hours and 24 hours after exposure). In the case of respiratory droplets, the sampling will take place at 3 time points (before exposure, 3 hours after exposure, and 24 hours after exposure). Image Credit: Owlstone Medical Ltd

For each exposure, breath samples were collected using Breath Biopsy® at seven time points: baseline before exposure, immediately after exposure, 30 minutes post-exposure, 1 hour post-exposure, 3 hours post-exposure, 6 hours post-exposure, and 24 hours post-exposure.

Respiratory droplet samples were obtained at three time points: baseline before exposure, 3 hours post-exposure, and 24 hours post-exposure. Blood samples were collected at four time points: baseline before exposure, 1 hour post-exposure, 3 hours post-exposure, and 24 hours post-exposure.

Samples were analyzed using gas chromatography-mass spectrometry (GC-MS), with both untargeted and targeted analyses conducted.

Table 1. The list of 33 targeted VOCs. Source: Owlstone Medical Ltd

     
n-Hexane 2-Hexanone Dodecane
2-Methylfuran Hexanal D-Limonene
Butanal Undecane 2-Pentylfuran
3-Methylfuran (E)-2-methyl-2-butenal Octanal
Pentanal 2-vinylfuran Nonanal
(E/Z)-1-methylthio-1-propene 3-Methyl thiophene
Decane E-2-Pentenal 2,4-Heptadienal
2-Ethylbutanal p-Xylene 2-Ethyl-hexanol
(Z/E)-1-methylthio-1-propene o-Xylene Pentadecane
1-Propanol Heptanal Decanal
E-2-Butenal Cyclopentanone Hexadecane

Results

PCA score plot of exhaled breath and blank samples: (A) consisting of 33 targeted VOCs (Table 1) and (B) 900 VOCs from untargeted analysis. Clear separation between breath samples and ambient blanks was demonstrated for both targeted and untargeted analysis

Figure 2. PCA score plot of exhaled breath and blank samples: (A) consisting of 33 targeted VOCs (Table 1) and (B) 900 VOCs from untargeted analysis. Clear separation between breath samples and ambient blanks was demonstrated for both targeted and untargeted analysis. Image Credit: Owlstone Medical Ltd

ANOVA Simultaneous Component Analysis of Targeted VOC Data in Exhaled Breath Following Exposure 1: Sham and Exposure 2: Diesel. (A) Score plot of the first principal component (PC1), explaining 35.16% of the variance, across seven time points. This plot highlights the temporal response of VOCs to sham (Exposure 1) and diesel, PM2.5 (Exposure 2) exposures. Key VOCs such as decane, hexadecane , 1-propanol, p-xylene, 3methylthiophene, and hexane have significant loadings on PC1, indicating their strong association with exposure effects. The importance of the VOCs contributing to the exposure effect is shown in A1. (B) Score plot of the second principal component (PC2), explaining 30.03% of the variance, over the same time course. This plot shows further differentiation between the exposures, with VOCs like pentanal, heptanal, and decanal contributing significantly to the observed variance. The importance of the VOCs contributing to the exposure effect is shown in B1

Figure 3. ANOVA Simultaneous Component Analysis of Targeted VOC Data in Exhaled Breath Following Exposure 1: Sham and Exposure 2: Diesel. (A) Score plot of the first principal component (PC1), explaining 35.16 % of the variance, across seven time points. This plot highlights the temporal response of VOCs to sham (Exposure 1) and diesel, PM2.5 (Exposure 2) exposures. Key VOCs such as decane, hexadecane, 1-propanol, p-xylene, 3methylthiophene, and hexane have significant loadings on PC1, indicating their strong association with exposure effects. The importance of the VOCs contributing to the exposure effect is shown in A1. (B) Score plot of the second principal component (PC2), explaining 30.03 % of the variance, over the same time course. This plot shows further differentiation between the exposures, with VOCs like pentanal, heptanal, and decanal contributing significantly to the observed variance. The importance of the VOCs contributing to the exposure effect is shown in B1. Image Credit: Owlstone Medical Ltd

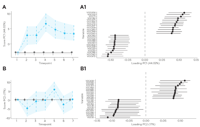
ANOVA Simultaneous Component Analysis of Untargeted VOC Data in Exhaled Breath Following Exposure 1: Sham and Exposure 2: Diesel. (A) Score plot of the first principal component (PC1), which explains 44.02% of the variance, across seven time points. This figure captures the primary response of VOC profiles to the sham (Exposure 1) and diesel (Exposure 2) with VOCs such as VOC472, VOC235, and VOC186 contributing heavily to this variance. The importance of the VOCs contributing to the exposure effect is shown in A1. (B) Score plot of the second principal component (PC2), explaining 17% of the variance, depicting additional differences between the exposures over time. VOCs such as VOC33, VOC310, and VOC229 are highlighted for their significant loadings on PC2, indicating their potential role in distinguishing the exposure effects. The importance of the VOCs contributing to the exposure effect is shown in B1

Figure 4. ANOVA Simultaneous Component Analysis of Untargeted VOC Data in Exhaled Breath Following Exposure 1: Sham and Exposure 2: Diesel. (A) Score plot of the first principal component (PC1), which explains 44.02 % of the variance, across seven time points. This figure captures the primary response of VOC profiles to the sham (Exposure 1) and diesel (Exposure 2), with VOCs such as VOC472, VOC235, and VOC186 contributing heavily to this variance. The importance of the VOCs contributing to the exposure effect is shown in A1. (B) Score plot of the second principal component (PC2), explaining 17 % of the variance, depicting additional differences between the exposures over time. VOCs such as VOC33, VOC310, and VOC229 are highlighted for their significant loadings on PC2, indicating their potential role in distinguishing the exposure effects. The importance of the VOCs contributing to the exposure effect is shown in B1. Image Credit: Owlstone Medical Ltd

Conclusions

Data analysis indicated a significant effect of exposure type, along with a notable interaction between post-exposure time and exposure type.

Targeted analysis revealed a significant increase in inflammation-related compounds in individuals exposed to PM2.5 compared to controls. Furthermore, 12 VOCs significantly increased in the breath of the PM2.5 group, with levels diminishing in samples collected 24 hours post-exposure.

The study presented here demonstrates that a distinct breath VOC profile can be detected in individuals exposed to PM2.5, suggesting that breath VOCs may serve as indicators of acute airway inflammation and assist in assessing respiratory diseases related to air pollution.

Acknowledgments

Produced from materials originally authored by Elizabeth Crone, Agnieszka Smolinska, Billy Boyle, Max Allsworth, Matt Kerr, and Lara Pocock from Owlstone Medical Ltd, and S. Lam, I. Elisia, Crista Bartolomeu, G. Krystal, and Renelle Myers from the BC Cancer Agency.

About Owlstone Medical Ltd

Owlstone Medical is developing a breathalyzer with a focus on non-invasive diagnostics for cancer, inflammatory disease and infectious disease, the company aims to save 100,000 lives and $1.5 B in healthcare costs.

The company’s Breath Biopsy® platform has introduced a new diagnostic modality making it possible to discover novel non-invasive biomarkers in breath using a platform with the potential to transition to point-of-care. The award winning ReCIVA Breath Sampler ensures reliable collection of breath samples.

Breath Biopsy is supporting research into early detection and precision medicine with applications in cancer and a wide range of other medical conditions. Highly sensitive and selective, these tests allow for early diagnosis when treatments are more effective and more lives can be saved.


Sponsored Content Policy: News-Medical.net publishes articles and related content that may be derived from sources where we have existing commercial relationships, provided such content adds value to the core editorial ethos of News-Medical.Net which is to educate and inform site visitors interested in medical research, science, medical devices and treatments.

Last Updated: Sep 16, 2025

Citations

Please use one of the following formats to cite this article in your essay, paper or report:

  • APA

    Owlstone Medical Ltd. (2025, September 16). Monitoring air pollution-induced inflammation through breath VOC biomarkers. News-Medical. Retrieved on January 14, 2026 from https://appetitescience.com/health/Monitoring-air-pollution-induced-inflammation-through-breath-VOC-biomarkers.aspx.

  • MLA

    Owlstone Medical Ltd. "Monitoring air pollution-induced inflammation through breath VOC biomarkers". News-Medical. 14 January 2026. <https://appetitescience.com/health/Monitoring-air-pollution-induced-inflammation-through-breath-VOC-biomarkers.aspx>.

  • Chicago

    Owlstone Medical Ltd. "Monitoring air pollution-induced inflammation through breath VOC biomarkers". News-Medical. https://appetitescience.com/health/Monitoring-air-pollution-induced-inflammation-through-breath-VOC-biomarkers.aspx. (accessed January 14, 2026).

  • Harvard

    Owlstone Medical Ltd. 2025. Monitoring air pollution-induced inflammation through breath VOC biomarkers. News-Medical, viewed 14 January 2026, https://appetitescience.com/health/Monitoring-air-pollution-induced-inflammation-through-breath-VOC-biomarkers.aspx.

Comments

The opinions expressed here are the views of the writer and do not necessarily reflect the views and opinions of News Medical.
Post a new comment
Post

While we only use edited and approved content for Azthena answers, it may on occasions provide incorrect responses. Please confirm any data provided with the related suppliers or authors. We do not provide medical advice, if you search for medical information you must always consult a medical professional before acting on any information provided.

Your questions, but not your email details will be shared with OpenAI and retained for 30 days in accordance with their privacy principles.

Please do not ask questions that use sensitive or confidential information.

Read the full Terms & Conditions.

You might also like...
Every breath counts; Utilizing breath biopsy technology to detect disease early